無限級数の和は、数学の中でも特に魅力的なテーマです。私たちは、無限に続く数の集まりがどのようにして一つの値に収束するのか、その神秘に迫ります。無限級数の和を理解することで、数学の深い構造を知ることができるのです。
私たちは、無限級数が持つ実用的な側面にも目を向けます。例えば、物理学や工学、経済学など多くの分野で利用されています。この知識があれば、さまざまな応用が可能になることを実感できるでしょう。無限級数の和についての理解を深めることで、私たちの数学的な視野が広がります。
無限級数の和の基本概念
無限級数の和とは、無限に続く数の列の合計を指します。この和がどのようにして一つの特定の値に収束するのかを理解するためには、いくつかの基本概念を知っておく必要があります。
無限級数とは
無限級数は、無限に続く項の総和です。我々が考える無限級数は、次のような形式を持っています。
これらの要素により、無限級数の魅力を理解できます。数学的な文脈で無限級数を扱うことで、新たな視点が得られます。
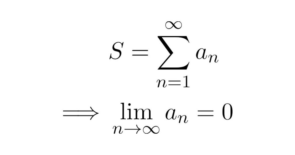
和の定義
無限級数の和は、特に収束する場合、一つの明確な値に到達します。定義は次のように説明できます。
無限級数の収束
無限級数の収束は、数学において極めて重要な概念です。収束するとは、無限に続く項の合計が一つの特定の値に近づくことを意味します。この理解は、無限級数を正しく利用するための基本となります。
収束の基準
無限級数が収束するかどうかを判断するために、いくつかの基準があります。以下の基準が頻繁に使われます:
これらの基準を用いることで、収束性を判断する際の手助けとなります。
収束テストの種類
無限級数の収束性を確認するためのテストには多くの種類があります。それぞれのテストには特定の条件と方法があります。主なテストには次のようなものがあります:
無限級数の計算方法
無限級数の計算方法は、さまざまな技術と理論を用いて進められます。以下に、主な方法を示します。
幾何級数の和
幾何級数は、各項が前の項に一定の比を掛けた形の数列です。一般的な形は次の通りです。
- 初項:a
- 比 r(
|r|
< 1)
幾何級数の和は、次の数式で表されます。
[ S = frac{a}{1 – r} ]
この式は、例えば初項が1、比が1/2の場合、和は次のように求められます。
- 初項:1
- 比:1/2
- 和: ( S = frac{1}{1 – (1/2)} = 2 )
テイラー展開と無限級数
テイラー展開は、関数を無限級数の形で表現する方法です。この展開により、特定の点での関数の値を求めることが可能です。テイラー級数は次のように定義されます。
- 関数の値:f(x)
- 中心:a
- 微分の値:n次微分 f^(n)(a)
テイラー級数の一般形は次の通りです。
[ f(x) = f(a) + f'(a)(x-a) + frac{f”(a)}{2!}(x-a)^2 + frac{f”'(a)}{3!}(x-a)^3 + … ]
例えば、e^xのテイラー展開は以下のようになります。
- ( f(x) = e^x )
- 展開点:0(マクローリン展開)
この場合、無限級数は
[ e^x = 1 + frac{x}{1!} + frac{x^2}{2!} + frac{x^3}{3!} + … ]
となります。
無限級数の応用
無限級数は、数学を超えた様々な分野で重要な役割を果たしています。特に、無限級数の特性を理解することで、他の領域での利用が可能になります。
数学的応用
無限級数は、数学において多くの応用が存在します。以下のポイントでその重要性を示します。
これらの応用は、我々の数学的理解を深め、複雑な問題を解くための強力な手段を提供します。
物理学における応用
無限級数は物理学の多くの領域でも利用されています。具体的な応用例を以下に示します。
結論
無限級数の和は数学の奥深い世界を探求する鍵となります。収束の概念や計算方法を理解することで我々の数学的視野が広がり多くの分野での応用が見えてきます。特に物理学や工学における実用性は無限級数の重要性を一層高めています。
この知識を活用することで複雑な問題に対する解決策を見出す手助けとなり、数学だけでなく他の学問にも新たな視点をもたらします。無限級数を学ぶことは我々の知識を深める素晴らしい旅の始まりです。
